【第1類医薬品】 SARSコロナウイルス抗原検査キット スタンダードQ COVID-19 Ag 2回分 - マルコム ※使用期限 2027年3月8日まで ※ネコポス対応商品 [新型コロナウイルス検査/鼻腔用]
1,958円(税込)
0ポイント(1%)
配送情報
お届け予定日:薬剤師による確認後3営業日以内に発送
※一部地域・離島につきましては、表示のお届け予定日期間内にお届けできない場合があります。ロットナンバー
713436692
商品説明
※こちらの商品は、使用期限 2027年3月8日までとなっております。予めご了承ください。
【ご注意】 こちらの商品は第1類医薬品です。
1.購入手続きへボタンを押した後に表示される、質問に全てお答えください。
2.後日、薬剤師からのメールをお送りししますので、内容をご確認・ご理解いただきメールにてご返信ください。
※メールに記載された期日までに、返信をご確認できない場合は、この医薬品をキャンセルさせていただきますので、あらかじめご了承ください。
3.薬剤師が内容を確認後、ご注文が確定します。
4.ご注文の確定後、商品発送などの準備に入ります。
※こちらの商品は、メール便対応品です。4個以上の購入や他の商品と同梱の場合は、宅配便での配送となります。
▶メール便に関して、詳しくはこちら
★出荷日数 こちらの商品は、第一類医薬品の為、薬剤師に返信後、3営業日以内に発送します。
「SARSコロナウイルス抗原検査キット スタンダードQ COVID-19 Ag 2回分」は、鼻腔用の新型コロナウイルス(SARS-CoV-2)抗原検査簡易キットです。本キットは、鼻腔ぬぐい液中の新型コロナウイルスの抗原を、検査キット上の新型コロナウイルスに対する抗体が結合することによりキット上のラインとして確認するものです。約15分で結果を確認可能です。
■商品名
【第1類医薬品】 SARSコロナウイルス抗原検査キット スタンダードQ COVID-19 Ag 2回分 - マルコム ※使用期限 2027年3月8日まで ※ネコポス対応商品 [新型コロナウイルス検査/鼻腔用]
■内容量
2回分
■使用上の注意
■してはいけないこと 検査結果から自分で病気の診断をすることはできません(上記「新型コロナウイルス抗原検査の使用について」に従ってください) ■相談すること この説明書の記載内容で分かりにくいことがある場合は、医師又は薬剤師に相談してください。 ■その他の注意 廃棄に関する注意 本キットや検体採取に使用した綿棒などは家庭ごみとして各自治体の廃棄方法に従って廃棄してください。 使用後の綿棒等は感染性を有するおそれがありますので、廃棄時の取扱いには十分注意し、使用したキット(綿棒、チューブ等を含む)をごみ袋に入れて、しっかりしばって封をする、ごみが袋の外面に触れた場合や袋が破れている場合は二重にごみ袋に入れる等、散乱しないように気を付けてください。
■効能・効果
鼻腔ぬぐい液中のSARS-CoV-2抗原の検出(SARS-CoV-2感染疑いの判定補助)
■用法・用量
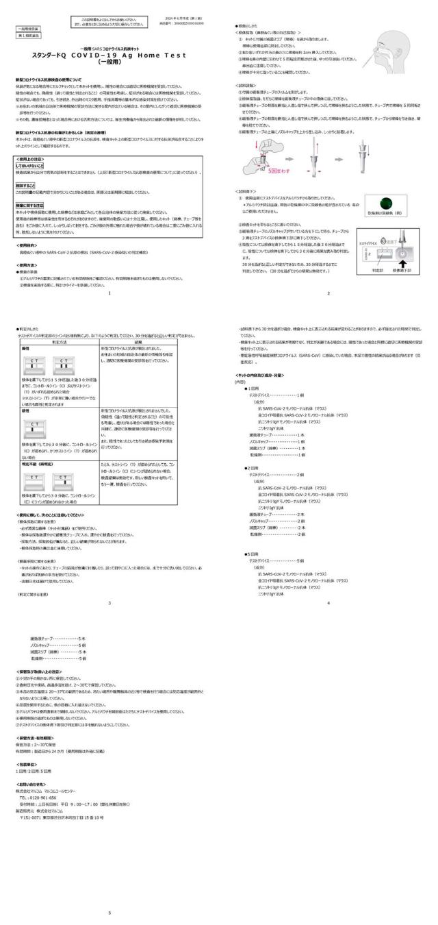
●検査の準備 (1)アルミパウチの裏面に記載されている有効期限をご確認ください。有効期限を過ぎたものは使用しないでください。 (2)検査を実施する前に、時計かタイマーを準備してください。 ●検査のしかた <検体採取(鼻腔ぬぐい液の自己採取)> (1)キットに付属の滅菌スワブ(綿棒)を袋から取り出します。綿棒は使用直前に開封してください。 (2)右か左いずれか片方の鼻の穴に綿棒を約2cm挿入してください。 (3)綿棒を鼻の内壁に沿わせて5回程度回転させた後、ゆっくり引き抜いてください。鼻出血に注意してください。 (4)綿棒が十分に湿っていることを確認してください。 <試料調製> (1)付属の緩衝液チューブのフィルムを剥がします。 (2)検体採取後、ただちに綿棒を緩衝液チューブの中の液体に浸してください。 (3)緩衝液チューブの側面を親指と人差し指で挟んで押しつぶして綿棒を挟むようにした状態で、チューブ内で綿棒を5回回転させてください。 (4)緩衝液チューブの側面を親指と人差し指で挟んで押しつぶして綿棒を挟むようにした状態で、チューブから綿棒を引き抜き、綿棒を捨ててください。 (5)緩衝液チューブの上端にノズルキャップを上から差し込み、しっかりと装着します。 <試料滴下> (1)使用直前にテストデバイスをアルミパウチから取り出してください。 *アルミパウチ開封直後、同包の乾燥剤の中に深緑色の粒が含まれている場合はご使用いただけません。 (2)検査キットを平らなところに置いてください。 (3)緩衝液チューブのノズルキャップが付いている方を下にして持ち、チューブから3滴をテストデバイスの検体滴下部に滴下してください。 (4)陽性については検体を滴下してから15分経過した後30分経過までに、陰性については検体を滴下してから30分後に結果を読み取り判定します。 30分を過ぎると正しい判定ができないため、30分経過するまでに判定してください。(30分を過ぎてからの結果は無効です。) ●判定のしかた テストデバイスの判定部のラインの出現有無により、以下のように判定してください。30分を過ぎると正しい判定ができません。 【陽性】 検体を滴下してから15分経過した後30分経過までに、コントロールライン(C)及びテストライン(T)がいずれも認められた場合 ※テストライン(T)が非常に薄い場合や均一でない場合も陽性と判定されます 新型コロナウイルス抗原が検出されました。 お住まいの地域の自治体の最新の情報等も確認し、適切に医療機関の受診等を行ってください。 【陰性】 検体を滴下してから30分後に、コントロールライン(C)が認められ、かつテストライン(T)が認められない場合 新型コロナウイルス抗原が検出されませんでした。 偽陰性(過って陰性と判定されること)の可能性も考慮し、症状がある場合には陽性であった場合と同様に、適切に医療機関の受診等を行ってください。 また、陰性であったとしても引き続き感染予防策を行ってください。 【判定不能(再判定)】 検体を滴下してから30分後に、コントロールライン(C)にラインが認められなかった場合 たとえ、テストライン(T)が認められたとしても、コントロールライン(C)にラインが認められない場合、検査結果は無効です。 新しい検査キットを用いて、もう一度、検査を行ってください。
■用法に関してのご注意
<使用に際して、次のことに注意してください> ●検体採取に関する注意 ・必ず清潔な綿棒(キット付属品)をご使用ください。 ・検体は採取後速やかに緩衝液チューブに入れ、速やかに検査を行ってください。 ・採取方法、採取部位が異なると、正しい結果が得られないことがあります。 ・検体採取時の鼻出血に注意してください。 ●検査手順に関する注意 ・キットの操作にあたり、チューブの溶液が皮膚に付着したり、誤って目や口に入った場合には、水で十分に洗い流してください。必要があれば医師の手当を受けてください。 ・直射日光は避けて使用してください。 ●判定に関する注意 ・試料滴下から30分を過ぎた場合、検査キット上に表示される結果が変わることがありますので、必ず指定された時間で判定してください。 ・検査キット上に表示される結果が明瞭でなく、判定が困難である場合には、陽性であった場合と同様に適切に医療機関の受診等を行ってください。 ・重症急性呼吸器症候群コロナウイルス(SARS-CoV)に感染していた場合、本品で陽性の結果が出る場合があります(交差反応)
■成分・分量
1テスト中 成分:分量 抗SARS-CoV-2モノクローナル抗体(マウス): 金コロイド吸着抗SARS-CoV-2モノクローナル抗体(マウス): 抗ニワトリIgYモノクローナル抗体(マウス): ニワトリIgY抗体:
■添加物
なし
■薬効分類
一般用体外診断薬
■剤形
その他
■保管・取り扱いの注意
(1)小児の手の届かない所に保管してください。 (2)直射日光や凍結、高温多湿を避け、2〜30℃で保管してください。 (3)本品の反応温度は20〜37℃の範囲であるため、冷たい場所や暖房器具の近く等で検査を行う場合には反応温度が範囲外とならないように注意してください。 (4)品質を保持するために、他の容器に入れ替えないでください。 (5)アルミパウチは使用直前まで開封しないでください。アルミパウチを開封後はただちにテストデバイスを使用してください。 (6)使用期限の過ぎたものは使用しないでください。 (7)テストデバイスの検体滴下部及び判定部には手を触れないようにしてください。
■お問合せ先
株式会社マルコム マルコムコールセンター TEL:0120-901-656 受付時間:土日祝日除く 平日 9:00〜17:00(弊社休業日を除く)
■使用期限
通常は、使用期限まで90日以上ある医薬品をお届けします。特価品など期限が短い場合は商品名に記載します。
■メーカー
マルコム
■キーワード
コロナウイルス抗原検査キット(第一類医薬品)
第1類医薬品
医薬品分類
| こちらもおすすめ | |
|---|---|
![]() SARSコロナウイルス抗原検査キット ス… 5,478円 |
![]() SARSコロナウイルス抗原検査キット ス… 10,692円 |
![]() SARSコロナウイルス抗原検査キット ス… 31,680円 |
![]() SARSコロナウイルス抗原検査キット ア… 3,762円 |
株式会社健人 電話番号 048-252-3939
★区分:医薬品
「SARSコロナウイルス抗原検査キット スタンダードQ COVID-19 Ag 2回分」は、鼻腔用の新型コロナウイルス(SARS-CoV-2)抗原検査簡易キットです。本キットは、鼻腔ぬぐい液中の新型コロナウイルスの抗原を、検査キット上の新型コロナウイルスに対する抗体が結合することによりキット上のラインとして確認するものです。約15分で結果を確認可能です。
■関連ワード:新型コロナウイルス検査/鼻腔用/鼻用/抗原検査キット/医療用/コロナ検査キット
■商品コード:mcmi-050752-01
■JANコード:4573198050752
■URL:https://wowma.jp/u/70508878/c/mcmi-050752-01
■関連ワード:新型コロナウイルス検査/鼻腔用/鼻用/抗原検査キット/医療用/コロナ検査キット
■商品コード:mcmi-050752-01
■JANコード:4573198050752
■URL:https://wowma.jp/u/70508878/c/mcmi-050752-01
お店の情報
お店の評価:



-点(0件)
連絡・応対
-
配送スピード
-
梱包
-













